To fulfill the need of Fuelwood, Fodder & Timber along with environmental balance there is need of plantation at large scale in state. The success of plantation depends upon quality of plants and seedlings for the availability of good quality seedling / plants a number of nurseries are established in the state as follows:
The details are linked in "Division" column. Present Rate of Plants
Year 2018-19
Name of District |
Division |
No. of Nurseries |
No. of Plants raised in Nurseries ( in lakhs) |
||
For sale |
For Departmental use |
Total |
|||
Ajmer |
D C F, Ajmer |
9 |
7.840 |
4.980 | 12.820 |
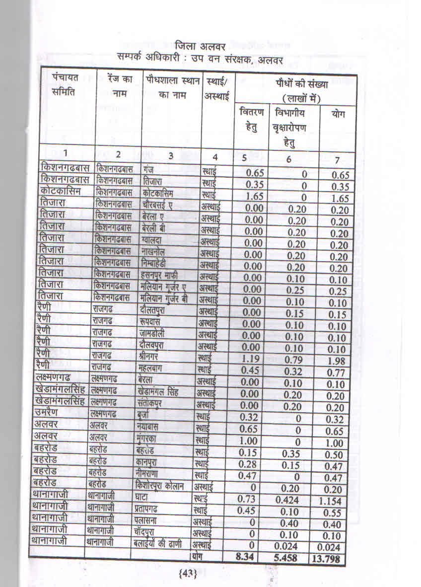
Alwar |
D C F, SF, Alwar |
33 |
8.340 | 5.458 |
13.798 |
Banswara |
D C F, Banswara |
31 | 18.125 | 2.565 |
20.690 |
Baran |
D C F, Baran |
15 |
3.110 |
8.190 |
11.300 |
Barmer |
D C F, Barmer |
12 |
1.536 |
4.900 | 6.435 |
Bharatpur |
D C F, Bharatpur |
8 |
4.514 |
0.320 |
4.834 |
Bhilwara |
D C F, Bhilwara |
16 |
2.900 |
0.790 |
3.690 |
Bikaner |
D C F, Bikaner |
7 |
0.600 |
1.635 |
2.235 |
Bikaner |
D C F, Chattargarh |
10 |
0.600 |
4.360 |
4.960 |
Bikaner |
D C F, Division-II Bikaner |
9 |
1.629 |
3.323 |
4.952 |
Bundi |
D C F, Bundi |
9 |
3.815 |
6.850 | 10.665 |
Chittorgarh |
D C F, Chittorgarh |
19 |
20.18 |
2.59 |
22.77 |
| D C F, WL Chittorgarh Kindly click for details |
7 | 0.000 | 3.930 | 3.930 | |
Churu |
D C F, Churu |
13 |
7.250 |
1.840 |
9.090 |
Dausa |
D C F, Dausa |
8 |
2.800 |
3.460 |
6.260 |
Dholpur |
D C F, Dholpur |
10 | 8.160 |
1.730 |
9.890 |
Dungarpur |
D C F, Dungarpur |
17 |
10.426 |
10.850 |
21.276 |
Ganganager |
D C F, Ganganager |
21 |
1.500 |
9.378 |
10.878 |
Hanumangarh |
D C F, Hanumangarh |
13 |
1.000 |
9.527 |
10.527 |
Jaipur |
D C F, Jaipur |
11 |
6.720 |
2.320 |
9.022 |
Jaipur |
D C F, Jaipur (North) |
10 |
3.500 |
5.820 |
9.320 |
Jaipur |
WL, Jaipur |
5 |
3.500 |
0.000 |
3.500 |
Jaipur |
F.T.I, Jaipur |
1 |
1.308 |
0.000 |
1.308 |
Jaipur |
Silviculturist, Jaipur |
4 |
3.550 |
4.000 |
7.550 |
Jaisalmer |
D C F, Jaisalmer |
14 |
2.050 |
2.787 | 4.837 |
Jaisalmer |
D C F,IGNP-II, Jaisalmer |
7 |
1.350 |
6.05 |
7.400 |
Jalore |
D C F, Jalore |
7 |
1.631 |
1.1470 |
2.771 |
Jhalawar |
D C F, Jhalawar |
17 |
3.012 |
10.049 |
13.061 |
Jhunjhunu |
D C F, Jhunjhunu |
13 |
8.640 |
6.500 |
15.140 |
Jodhpur |
D C F, Jodhpur |
11 |
3.720 |
1.440 |
5.160 |
Karauli |
D C F, Karauli |
14 |
4.780 |
5.310 |
10.090 |
Kota |
D C F, Kota |
17 |
12.10 |
5.340 |
17.440 |
Nagaur |
D C F, Nagaur |
8 |
2.750 |
0.300 |
3.05 |
Pali |
D C F, Pali |
13 |
3.350 |
1.400 |
4.750 |
Pratapgarh |
D C F, Pratapgarh |
14 |
3.00 |
2.180 |
5.180 |
| Rajsamand | DCF, WL, RAJASAMAND |
18 | 3.350 | 9.020 | 12.550 |
SawaiMadhopur |
D C F, S F S,SawaiMadhopur |
6 |
8.650 |
0.300 |
8.950 |
Sikar |
D C F, Sikar |
10 |
4.646 |
9.757 |
14.404 |
Sirohi |
D F O, Sirohi |
10 |
8.000 |
0.000 |
8.000 |
Sirohi |
D C F, Wildlife Mount Abu |
3 |
0.60 |
0.000 |
0.60 |
Tonk |
D C F, Tonk |
17 |
3.960 |
0.250 |
4.210 |
Udaipur |
D C F, Udaipur |
27 |
24.670 |
4.817 |
29.487 |
Udaipur |
D C F, Udaipur (North) |
32 |
12.350 |
2.332 |
14.682 |
Udaipur |
D C F, WL, Udaipur |
4 |
5.100 |
0.00 |
5.100 |
|
|
|
|
|
|
Total |
|
567 |
236.134 |
177.934 |
414.068 |






